Skip to content Skip to sidebar Skip to footer

Widget HTML #1

How To Tell If A Piecewise Function Is Continuous : Determine formulas that describe how to calculate an output from an input in each interval.

How To Tell If A Piecewise Function Is Continuous : Determine formulas that describe how to calculate an output from an input in each interval.. The left and right limits must be the same; I do know how to show continuity when there is a break in intervals of the functions. This function is continuous is something you can tell to a classmate while climbing up the stairs. Sal finds the limit of a piecewise function at the point between two different cases of the function. They are defined piece by piece, with various f given below is continuous, then what is the value of.

In this playlist, we will explore how to evaluate the limit of an equation, piecewise function, table and graph. Now i'd like to show that the function isn't cts at any other point. A graph for a function that's smooth without any holes, jumps, or asymptotes is called continuous. Let f and g be piecewise and continuous (write out the definition, soemthing like, for f there is a partition of a,b into finitely many subintervals of nonero length such that f is continuous on each, same for g) then check. Represent this as a piecewise function and tell the price charged if anil played the game for 13 minutes and raju played.

Piecewise Functions
Piecewise Functions from s2.studylib.net
A function can be in pieces. Sal finds the limit of a piecewise function at the point between two different cases of the function. This function is continuous is something you can tell to a classmate while climbing up the stairs. Let f and g be piecewise and continuous (write out the definition, soemthing like, for f there is a partition of a,b into finitely many subintervals of nonero length such that f is continuous on each, same for g) then check. Determine formulas that describe how to calculate an output from an input in each interval. Learn all about the limit. Hence the given piecewise function is continuous for all x ∈ r. Questions of continuity can arise in these case at the point where the two functions are joined.

Pieces of different functions all on one graph.

How do i show that the function is continuous? This function is continuous is something you can tell to a classmate while climbing up the stairs. I think i need to show one sided limits but i do not know where to start. Questions of continuity can arise in these case at the point where the two functions are joined. When i first uploaded a definition of piecewise continuous functions i did so in the belief that there was only one, and i felt that i would like to repair that error. I just don't know how to even begin setting up the problem to solve any part of it. Find the points of discontinuity of the function f, where. A function is said to be differentiable if the derivative exists at each point in its domain. A piecewise continuous function is a function that is continuous except at a finite number of points in its domain. Piecewise functions, usually linear ones, can frequently relate to real life as seen wit the dog grooming question. Pieces of different functions all on one graph. Each formula has its own domain, and the domain of the function is the union of all these smaller domains. A graph for a function that's smooth without any holes, jumps, or asymptotes is called continuous.

Questions of continuity can arise in these case at the point where the two functions are joined. How to determine if a piecewise function is continuous. Piecewise functions are important in applied mathematics and engineering students need to deal with them often. Note how we draw each function as if it were the only. Pieces of different functions all on one graph.

Continuous Piecewise Function Linear Funcion Por Partes File Exchange Matlab Central
Continuous Piecewise Function Linear Funcion Por Partes File Exchange Matlab Central from www.mathworks.com
A piecewise function is a function in which more than one formula is used to define the output. A statement on combinations of piecewise continuous functions is the only statement left in the comments section now. For a piecewise function, the domain is broken into pieces, with a different rule defining the function for each when finding the derivative of a point on a piecewise function does every function in the piecewise function need to be continuous * and is it a function? I'd like to prove that this function is only continuous at $x=\frac{1}{2}$. Some functions are not continuous. Find the points of discontinuity of the function f, where. In other words, the function can't jump. Piecewise functions are functions that have multiple pieces, or sections.

I would appreciate any help.

Continuity of a piecewise function. Hence the given piecewise function is continuous for all x ∈ r. Represent this as a piecewise function and tell the price charged if anil played the game for 13 minutes and raju played. I'd like to prove that this function is only. Piecewise functions are functions that have multiple pieces, or sections. When i first uploaded a definition of piecewise continuous functions i did so in the belief that there was only one, and i felt that i would like to repair that error. Piecewise functions, usually linear ones, can frequently relate to real life as seen wit the dog grooming question. At the endpoints, where two pieces come together. I would appreciate any help. Determine formulas that describe how to calculate an output from an input in each interval. Note how we draw each function as if it were the only. Evaluating a piecewise function adds an extra step to the whole proceedings. Note how the graph of the function changes for different segments of the input.

A function can be in pieces. I think i need to show one sided limits but i do not know where to start. Represent this as a piecewise function and tell the price charged if anil played the game for 13 minutes and raju played. That tells you nothing about continuity at 1/2. They are defined piece by piece, with various f given below is continuous, then what is the value of.

Shortcut How To Find A And B That Make Piecewise Function Continuous Everywhere Youtube
Shortcut How To Find A And B That Make Piecewise Function Continuous Everywhere Youtube from i.ytimg.com
These kinds of functions are called piecewise functions. If we graph s(x) restricted to this domain, it still looks like it is discontinuous at 0, but 0 is. Learn all about the limit. Learn how to determine the differentiability of a function. At the endpoints, where two pieces come together. We can create functions that behave differently based on the input (x) value. Piecewise functions, usually linear ones, can frequently relate to real life as seen wit the dog grooming question. They are defined piece by piece, with various f given below is continuous, then what is the value of.

These can apply to situations and reveal the smartest methods of purchasing things.

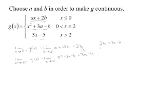
A function made up of 3 pieces. Learn how to determine the differentiability of a function. How to determine if a piecewise function is continuous. A function is said to be differentiable if the derivative exists at each point in its domain. Piecewise functions, usually linear ones, can frequently relate to real life as seen wit the dog grooming question. I'd like to prove that this function is only. Sal finds the limit of a piecewise function at the point between two different cases of the function. At the endpoints, where two pieces come together. Note how the graph of the function changes for different segments of the input. Given that f is continuous everywhere, determine the values of a and b. For a piecewise function, the domain is broken into pieces, with a different rule defining the function for each when finding the derivative of a point on a piecewise function does every function in the piecewise function need to be continuous * and is it a function? The limit of a continuous function at a point is equal to the value of the function at that point. If we graph s(x) restricted to this domain, it still looks like it is discontinuous at 0, but 0 is.

Evaluating a piecewise function adds an extra step to the whole proceedings how to tell if a function is continuous. A function can be in pieces.